Grade 1 Endometrial Cancer Prognosis
Visit the Official Patient Website for More Information. Ad FDA-Approved Rx Treatment Option for Certain Types of Endometrial Carcinoma.

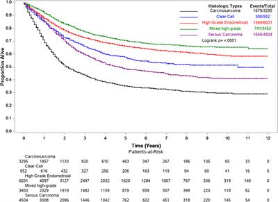
Cancers Free Full Text Pathogenesis And Clinical Management Of Uterine Serous Carcinoma Html


Uterine Cancer Survival Statistics Cancer Research Uk

Endometrial Cancer Treatment Pdq Health Professional Version National Cancer Institute

Cancers Free Full Text Pathogenesis And Clinical Management Of Uterine Serous Carcinoma Html

Pin On Donna Jean Ford 4 16 60 2 14 09

Pin By Great Wolf On Granulosa Cell Tumour Of Ovary Ovarian Tumor Endometrial Hyperplasia Tumor

Cancers Free Full Text New Insights Into Endometrial Cancer Html
![]()
Endometrial Cancer Type 2 Incidence And Survival Disparities Within Subsets Of The Us Black Population Oncology Frontiers

Frontiers Systematic Lymph Node Dissection May Be Abolished In Patients With Apparent Early Stage Low Grade Mucinous And Endometrioid Epithelial Ovarian Cancer Oncology

Endometrial Cancer Treatment Pdq Health Professional Version National Cancer Institute

High Degree Of Heterogeneity Of Pd L1 And Pd 1 From Primary To Metastatic Endometrial Cancer Gynecologic Oncology

Pin On Ovarian Cancer Awareness

Endometrial Cancer Creogs Over Coffee

Acr Appropriateness Criteria Adjuvant Management Of Early Stage Endometrial Cancer
Cancer Of The Uterus Or Endometrium

Update On The Chemotherapeutic Management Of Endometrial Cancer Semantic Scholar


